
Cara Menghitung Kebutuhan Bahan Pondasi Rumah
Pondasi merupakan elemen utama yang berperan besar dalam menjaga kestabilan dan ketahanan struktur bangunan. Selain itu, ketidaktepatan dalam menghitung kebutuhan bahan pondasi rumah dapat menurunkan kualitas konstruksi dan menimbulkan risiko pada kekuatan struktur. Akibatnya, banyak proyek mengalami kerusakan dini yang seharusnya dapat dicegah sejak awal.
Pada praktik pembangunan, kebutuhan material pondasi terkadang dihitung tanpa mengacu secara detail pada desain teknik. Karena itu, perilaku tersebut dianggap gegabah, sebab kondisi tersebut dapat menimbulkan ketidakseimbangan penggunaan material—baik kelebihan maupun kekurangan—yang berdampak pada efisiensi pelaksanaan pekerjaan. Di sisi lain, penggunaan material secara tepat dapat membantu pengelolaan anggaran menjadi lebih optimal.
Oleh sebab itu, perhitungan bahan pondasi yang dilakukan secara teliti berdasarkan desain sangat membantu kontraktor dalam menciptakan proses pembangunan yang efisien, terstruktur, dan lebih sesuai dengan standar konstruksi. Dengan demikian, pondasi yang dihasilkan menjadi lebih kuat serta mampu mendukung beban bangunan dalam jangka panjang.
Artikel ini menguraikan langkah-langkah praktis untuk menghitung kebutuhan bahan pondasi sesuai jenis dan desain bangunan, sehingga proses konstruksi dapat berjalan lebih sistematis dan terukur.
Jenis–Jenis bahan Pondasi Rumah
1. Pondasi Batu Kali
Digunakan untuk bangunan bertingkat rendah atau beban ringan–sedang. Pondasi ini umumnya memiliki bentuk trapesium dengan material utama berupa batu belah, pasir, dan semen.
2. Pondasi Foot Plate (Telapak)
Jenis pondasi beton bertulang yang digunakan untuk bangunan dengan beban lebih besar. Biasanya, pondasi ini ditempatkan pada kolom utama dengan dimensi tertentu sesuai rencana struktur.
3. Pondasi Bored Pile
Pondasi dalam berbentuk tiang beton yang dicor di tempat. Umumnya, pondasi ini dipakai pada daerah dengan kondisi tanah kurang stabil atau bangunan bertingkat.
4. Pondasi Cakar Ayam
Pondasi ini terdiri dari beton bertulang dengan pelat lebar dan pipa-pipa beton di bawahnya. Karena itu, pondasi ini cocok untuk tanah lunak atau bangunan dengan beban besar.
5. Pemilihan Jenis Pondasi
Pemilihan pondasi sangat dipengaruhi oleh jenis tanah, beban bangunan, kedalaman tanah keras, serta desain struktur. Oleh karena itu, tahapan ini wajib diperhitungkan secara menyeluruh.
Data Desain yang Dibutuhkan Sebelum Menghitung Bahan Pondasi Rumah
- Gambar denah dan layout pondasi: menunjukkan lokasi, jumlah titik pondasi, serta jalur pondasi.
- Dimensi pondasi: meliputi lebar atas, lebar bawah, tinggi pondasi, serta ukuran sloof.
- Spesifikasi teknis material: kualitas beton, jumlah tulangan, diameter besi, jenis material urugan, dan mutu semen.
- Kondisi tanah: tanah keras, lembek, berpasir, atau berlempung mempengaruhi jenis dan volume pondasi.
Langkah Umum Menghitung Kebutuhan Bahan Pondasi
1. Menghitung Volume Bahan Pondasi Rumah
Volume dihitung dari dimensi sesuai bentuk pondasi.
- Pondasi batu kali: rumus trapesium atau persegi panjang.
- Pondasi beton: panjang × lebar × tinggi.
2. Mengonversi Volume ke Material
Volume kemudian dikonversi menjadi kebutuhan bahan seperti:
- Batu kali atau batu belah
- Pasir urug dan pasir pasang
- Semen
- Beton (m³)
- Besi tulangan
Konversi biasanya mengacu pada analisa pekerjaan standar.
3. Menggunakan Analisa SNI atau Analisa Lapangan
Analisa SNI digunakan sebagai pedoman umum, sementara itu, analisa lapangan dipakai untuk kondisi tertentu yang membutuhkan penyesuaian.
4. Menyusun Tabel Perhitungan
Agar mudah dibaca, volume dan material sebaiknya dibuat dalam bentuk tabel. Dengan cara ini, perhitungan menjadi lebih rapi dan akurat.
Contoh Perhitungan Bahan Pondasi Rumah Berdasarkan Jenis Pondasi
A. Pondasi Batu Kali
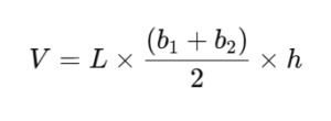
1. Rumus Volume (Trapesium):

Keterangan:
-
V = volume pondasi (m³)
-
L = panjang pondasi (m)
-
b1 = lebar atas pondasi (m)
-
b2 = lebar bawah pondasi (m)
-
h = tinggi pondasi (m)
2. Contoh Dimensi:
- Panjang pondasi : 20 m
- Lebar atas : 30 cm
- Lebar bawah : 60 cm
- Tinggi : 70 cm
3. Konversi Kebutuhan Material (perkiraan umum):
- Batu kali
- Pasir pasang
- Pasir urug
- Semen adukan
Semua merujuk pada analisa standar pondasi batu kali.
B. Pondasi Foot Plate
- Volume Beton:
Jika pondasi berbentuk balok persegi panjang:

Keterangan:
- V = volume beton (m³)
- p = panjang (m)
- l = lebar (m)
- t = tinggi (m)
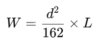
- Besi Tulangan:
Jika ingin menghitung berat besi dari panjang:

atau memakai rumus berat besi standar:

Keterangan:
- W = berat besi (kg)
- L = panjang besi total (m)
- d = diameter besi (mm)
- 162 = konstanta besi sesuai standar densitas baja
- Bekisting:
Dihitung dari luas bidang samping pelat beton yang membutuhkan penahan. Jika proyek memerlukan perhitungan bekisting, gunakan rumus berikut:
![]()
Keterangan:
- A = luas bekisting samping (m²)
- p = panjang (m)
- l = lebar (m)
- t = tinggi (m)
C. Pondasi Bored Pile
- Volume Beton per Tiang:
Bored pile berbentuk silinder sehingga menggunakan rumus volume tabung:

Keterangan:
- V = volume beton bored pile (m³)
- μ= 3{,}14159…
- r = jari-jari bored pile (m)
- h = kedalaman / panjang bored pile (m)
- Besi Tulangan:
Dihitung dari diameter dan panjang pile serta jumlah cincin (spiral) tulangan. - Total Kebutuhan:
Dikalikan dengan jumlah titik pile di desain struktur.
Faktor yang Mempengaruhi Jumlah Material
- Tipe tanah: tanah lunak dapat memerlukan pondasi lebih besar atau lebih dalam.
- Kedalaman pondasi: semakin dalam, semakin besar volume bahan.
- Beban bangunan: bobot bangunan mempengaruhi dimensi dan kebutuhan material pondasi.
- Toleransi waste material: biasanya ditambahkan sebagian kecil untuk antisipasi kehilangan material di lapangan.
Tips Menghemat Bahan Pondasi Rumah Tanpa Mengurangi Kualitas
- Mengoptimalkan desain struktur sesuai kebutuhan bangunan.
- Menggunakan material dengan spesifikasi yang konsisten.
- Mengontrol pelaksanaan pengecoran agar tidak boros.
- Melakukan pemeriksaan dimensi secara berkala sesuai gambar kerja.
Dengan langkah-langkah tersebut, penggunaan material akan menjadi lebih efisien.
Perhitungan Akhir Wajib Mengacu pada Gambar Struktur dari Tenaga Bersertifikat
Seluruh metode perhitungan dalam artikel bersifat panduan umum yang digunakan dalam pekerjaan konstruksi. Akan tetapi, perhitungan akhir kebutuhan bahan pondasi harus selalu mengacu pada gambar struktur dan dokumen perencanaan dari tenaga ahli bersertifikat, seperti:
- Insinyur Sipil Profesional
- Perencana Struktur (Ahli Teknik Bangunan Gedung)
- Konsultan perencana yang memiliki SKA/SKT sesuai peraturan PUPR
Karena itulah, hanya perhitungan profesional yang mampu menentukan kebutuhan struktur secara tepat.
Perhitungan kebutuhan bahan pondasi merupakan tahapan fundamental dalam pembangunan rumah. Terlebih lagi, ketelitian dalam menghitung volume dan material sangat menentukan efisiensi anggaran serta kualitas struktur secara keseluruhan. Pemilik rumah wajib mengikuti metode perhitungan yang sistematis agar proses pembangunan berlangsung lebih akurat dan sesuai standar.
Pada akhirnya, perencanaan yang matang pada awal pembangunan menghasilkan struktur bangunan yang lebih stabil, kuat, dan memiliki umur layanan panjang. Selain itu, pembelian material hanya melalui distributor resmi dan terpercaya sangat penting untuk menjaga kualitas pondasi.
Untuk mengetahui artikel seputar bahan bangunan, silakan kunjungi laman terkait disini.
